| 索引号: | 014207264/2021-12010 | 分类: | 城乡建设、环境保护\气象、水文、测绘、地震 批复 | ||
| 发布机构: | 南通市人民政府办公室 | 文号: | 通政复〔2021〕186号 | ||
| 成文日期: | 2021-12-14 | 发布日期: | 2021-12-14 | 有效性: | 有效 |
| 名称: | 市政府关于同意发布南通市暴雨强度公式及设计暴雨雨型的批复 | ||||
市政府关于同意发布南通市暴雨强度公式及设计暴雨雨型的批复
市市政和园林局:
你局《关于批准发布〈南通市暴雨强度公式及设计暴雨雨型〉的请示》(通政园公〔2021〕151号)收悉。经研究,现批复如下:
一、原则同意发布我市暴雨强度公式修编成果及设计暴雨雨型,修订后的公式为:
1.设计暴雨强度公式
历时≤180min时:
式中:i——设计暴雨强度(mm/min); t——降雨历时(min);
TM——设计重现期(年);
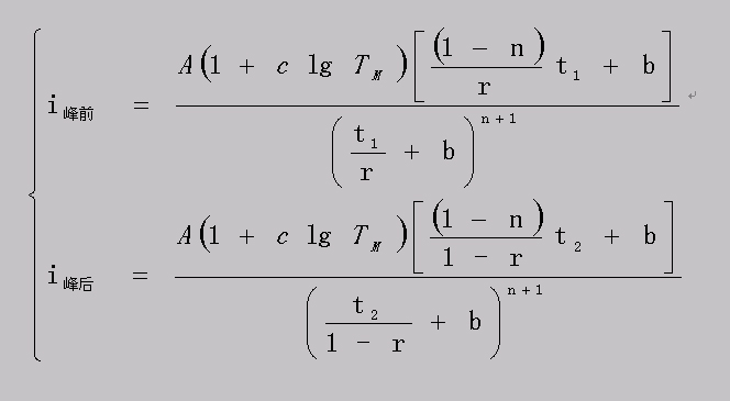
2.设计雨型
采用K.C法计算设计暴雨雨型。

式中:i——瞬时雨强(mm/min);t1——峰前时间(min);
t2——峰后时间(min);r——雨峰位置系数;
b、n、A、c——暴雨强度公式的参数。
3.参数取值
A= 9.972,c=1.004,b= 12.000,n=0.657。
雨峰位置系数统计表
设计暴雨雨型历时(min) |
120 |
180 |
r |
0.430 |
0.418 |
二、新公式主要适用于崇川区和南通经济技术开发区,其他县(市、区)可参照使用。
三、你局要牵头各相关单位将其作为我市科学规划、设计、新建改造和管理排水防涝设施的技术依据,同时要指导各地根据实际及时开展暴雨强度公式编制和设计暴雨雨型研究工作,为进一步完善城市排水防涝工程体系和提升城市内涝防治水平打好基础。
南通市人民政府
2021年12月14日
(此件公开发布)